上海恒點傳動設備有限公司
加微信聯系 恒點減速機QQ2:51228482
[HTML] [XML]  産品展示産品展示-RSS  新聞中心新聞中心-RSS  技術支持技術支持-RSS
産品分類: 減速機蝸輪絲杆升降機轉向箱蝸輪蝸杆減速機齒輪減速機行星齒輪減速機擺線針輪減速機無級變速機大功率減速器
上海恒點傳動設備有限公司
資訊分類
和産品相關的技術文章
當前位置:網站首頁 > 技術支持 > 高速漸開線圓柱齒輪和類似要求齒輪承載能力計算方法載荷影響系數(JB/T8830-2001)

高速漸開線圓柱齒輪和類似要求齒輪承載能力計算方法載荷影響系數(JB/T8830-2001)

Tags: ARA螺旋錐齒輪轉向箱    發布時間: 2014-10-06
4載荷影響系數
影響系數KV、KHα、KFα均按GB/T 3480的一般方法(ISO 6336-1的B法)確定,KHβ、KFβ、按GB/T3480的曲型結構的計算方法(ISO 6336-1的法C1法)確定。
影響系數KV、KHβ、KFβ均取決於輪齒載荷等因素,用作用載荷(名義切向力乘以使用系數)作爲最初的計算值。這些系數相互影響,因此必須按下列順序計算:
a)用切向載荷FtKA(當量載荷,對多分支傳動用FtKAKγ3)3)在多分支齒輪傳動系中(如行星傳動、分流傳動)中,總切向載荷不是完全平均分配在每對齧合齒輪上(取決於設計節圓線速度和制造精度)。此時,要考慮在KA的後面插入不均載系數Kγ,以調節每對齧合齒輪上的平均切向載荷。)計算KV
b)用載荷FtKAKV計算KHβ或KFβ
4.1名義切向力、名義轉矩、名義功率
名義切向力Ft­作用於端面内分度圓上,它由工作機的輸入轉矩確定,該轉矩爲正常工作條件下的最大值。當原動機的名義轉矩與工作機的轉矩一緻時,可採用原動機的名義轉矩,或者選取其他合适的值。
式中: ——名義切向力,N;
T——名義轉矩,N·m;
d——齒輪分度圓直徑,mm;
P——名義功率,KW;
n——齒輪轉速,t/min;
v——節圓線速度,m/s。
4.2當量切向力、當量轉矩、當量功率
當傳遞的載荷非恒定時 ,既要考慮尖峰載荷及基循環次數,又要考慮中間載荷及其循環次數。這類載荷按工作循環次數劃分。並可用載荷圖譜表示。此時,應按工作循環次數下的累積疲勞效應計算齒輪的強度。變載荷下的齒輪強度計算方法見GB/T3480-1997的附錄B。
4.3最大切向力、最大轉矩、最大功率
在變載荷下,最大切向力Ftmax(或對應的最大轉矩Tmax,最大功率Pmax)的大小可由合适的安全離合器限定。當相應於靜應力極限的抗點蝕與抗折斷的安全系數確定後(見第5章、第6章),Fmax、Tmax、Pmax應是已知的。
4.4使用系數KA
爲瞭補償由於外部因素引起的齒輪載荷增加,用使用系數KA來調節各義載荷Fr。這種附加載荷主要取決於原動機和從動機的特性以及包括軸和聯軸器在内的系統的質量和剛度。
使用系數的大小建議由用戶和制造商或設計者協商確定。
KA可通過精密測量和對傳動系統的全面分析,或根據可靠的現場經驗來確定(見4.2)。
如果沒有可靠的數據,即使在初步設計階段 ,也可採用附錄C中推薦的KA值,這些KA值是在最小安全系數爲1.25時得出的。
4.5動載系數KV
動載系數是包含内部附加動載荷在内的輪齒上的總載荷與輪與傳遞的切向載荷之比。
本标準的計算方法假定:齒輪副由一個基本單質量彈簧系統組成,這個系統包括小齒輪和大齒輪的綜合質量和輪齒的齧合剛度。該方法還假定每個齒輪副象單級齒輪副一樣,即不考慮多級傳動中其他各級的相互影響。這個假定僅适用於大齒輪和小齒輪的當量軸的扭轉剛度(在齒輪的基圓半徑處測量)小於齧合剛度時的情況 。剛性軸的處理方法見4.5.2和附錄B中B1。
由軸及其連結的質量的扭轉振動所産生的力不包括在KV中,這些力應包括在其他外部力中(如在使用系數中考慮)。
在多分支齒輪傳動中 ,有多個固有頻率,這些固有頻率與單對齒傳輸線齧合時齒輪副的固有頻率相比,或高或低。當這些齒輪在臨界區運轉時,建議用測量或對整個系統作全面的動力學分析確定(參見GB/T3480-1997中6.2或ISO 6336-1中6.2中的A法)。
計算KV時的單位載荷用Fteq/b或FtKA/b。當FtKA/b或Fteq/b小於100N/mm時,用100N/mm。
當FtKA/b<50N/mm時,尤其是對高速動轉的低精度直齒輪或斜齒輪,存在著很大的振動危險(有時會造成脫齧)。
4.5.1確定KV的參數計算
4.5.1.1誘導質量mred
a)單級齒傳輸線副誘導質量
式中:mred——齒輪副轉換到齧合線上的單位齒寬誘導質量,kg/mm;
m1*,m2*——小輪及大輪轉化到齧合線上的單位齒寬當量質量,kg/mm;
式中:J1、J2——小輪及大輪單位齒寬的轉動慣量 ,kg·mm2/mm;
rb1、rb2——小輪及大輪的基圓半徑,mm。
b)多級齒輪副誘導質量
見附錄B。
c)非常規設計齒輪的誘導質量
下列情況的誘導質量計算,見附錄B:
——齒高中部的直徑dm1大約等於軸徑的軸齒輪;
——兩個剛性聯接的同軸齒輪;
——由兩個小齒輪驅動的大齒輪;
——行星齒輪;
——惰輪。
4.5.1.2齒輪副臨界轉速
a)小齒輪臨界轉速nE1
式中 :nE1——小齒輪臨界轉速,r/min;
z1——小齒輪齒數;
Cγ——齧合剛度,N/(mm·μm),見附錄A。
b)臨界轉速比N
小齒傳輸線轉速與臨界轉速的比值稱爲臨界轉速比:
由於軸、軸承、箱體等的剛度及相應的阻尼未考慮,因此,臨界轉速可能高於或低於由式(9)計算的值 。爲安全起見,臨界區域的界際爲:
Ns<N≤1.15…………………………(11)
臨界轉速比的下限NS可按下面兩種情況確定。
當載荷FtKA/b<100N/mm時
當FtKA/b≥100N/mm時
NS=0.85………………………………(13)
4.5.1.3齒輪精度與跑合參數BP,Bf­,BK
BP,Bf­,BK分别爲考慮齒距偏差 、齒廓偏差和齒廓修形對動載荷影響的無量綱參數4)。(齒頂修緣僅用於GB/T 10095規定的0~5級齒輪。)
式中 :c′——單對齒剛度,N/(mm·μm);
b——對齒輪的較小齒寬,mm;
Ca——設計修緣量,μm;沿齒廓法線方向計量,當無修緣時:取Ca­=Cay,Cay爲由跑合産生的齒頂磨合量(μm),Cay按下式計算:
當大、小齒輪材料不同時
Cay=0.5(Cay1+ Cay2)……………………(18)
Cay1和 Cay2分别按式(17)計算。
fpbeff、f­paeff——分别爲有效基圓齒距偏差和有效齒廓形狀偏差 ,μm;fpbeff和fpaeff爲跑合後的值 ,根據相應的跑合量yp和yf(μm)確定:
fpbeff=fpb-yp……………………(19)
fpaeff=ffa-yf……………………(20)
式中:fpb,f­fa——分别爲基圓齒距極限偏差和齒廓形狀偏差,μm;fpb和ffa取大、小齒輪中的較大值。
4.5.1.4跑合量yp,ya,yf
對調質齒輪:
式中:ya——齒廓跑合量,μm。
對表面硬化(滲碳)、氧化和氮碳共滲齒輪:
yp=ya=0.075fpb…………………………(23)
yf=0.075ffa…………………………(24)
當大、小齒輪的材料不同時,取小齒輪和大齒輪的平均值:
yp=0.5(ya1+ ya2)=0.5(yp1+ yp2)……………………(25)
yf=0.5(yf1+ yf2)……………………(26)
4.5.2亞臨界區(N≤NS)的動載系數
在這個區域中,如果輪齒的齧合頻率符合N=1/2或N=1/3時,可能會發生共振。對精密斜齒輪或經适當修形的直齒輪(齒輪的精度等級爲GB/T10095的5級或更高)出現共振的可能性較小。
如果直齒輪的重合度較小或精度較低時,KV值可達到主共振區内的KV值,若出現這種情況,應修改設計或運行參數。
在N=1/4,1/5,……時的共振,由於相應的振幅一般很小,很少會引起麻煩。
對主動軸和從動軸剛度不同的齒輪副,當N=0.2,……0.5時 ,如果剛性較大的軸轉化到齧合線上的扭轉剛度c與齧合剛度的數量級相同時,即如果c/rb2與cr的數量級相同時,輪齒的齧合頻率會激勵固有頻率,此時,動載荷的增量會超過式(27)的計算值。
KV=(NK)+1……………………(27)
K=(CV1BP)+(CV2Bf)+( CV3BK)……………………(28)
式中:CV1、CV2、CV3——分别爲考慮齒距偏差 、齒廓偏差和齧合剛度周期性變化的影響系數,見表2。
表2系數CV1~CV7的計算公式
4.5.3主共振區(NS<N≤1.15)的動載系數
總重合度較大的高精度斜齒輪可在該區間令人滿意地工作,對於精度不低於5級(按GB/T10095.1的規定)且有适當修形的直齒輪也可在該區間工作。
對於上述齒輪:
KV=(CV1BP)+(CV2Bf)+( CV3BK)+1……………………(29)
式中:CV4——考慮齧合剛度周期性變化引起齒輪副扭轉共振的影響系數,見表2。
4.5.4超臨界區(N≥1.5)的動載系數
在這個區域,當N=2,3……時可能發生共振峰值 。然而,大多數情況下振幅較小,這是由於比齧合頻率低的頻率所産生的激振力一般較小的緣故。
在超臨界區工作的齒輪,還有必要考慮由齒輪和軸系的橫向振動可能産生的動載荷。當臨界橫向振動頻率接觸近於齒輪的旋轉頻率,具這種情況無法避免時,動載荷必須要考慮。
KV=(CV5BP)+(CV6Bf)+ CV7­………………(30)
式中:CV5、CV6——在超臨界區内分别考慮齒距偏差和齒廓偏差的影響系數,見表2;
CV7——考慮因齧合剛度變動,在恒速運行時與輪齒彎曲變形産生的分力有關的系數,見表2。
4.5.5過渡區(1.15<N<1.5)的動載系數
在這個區域,動載系數由N=1.15和N=1.5時的KV值(見4.5.3和4.5.4)線性插值確定。
4.6接觸強度計算的齒向載荷分布系數KHβ
齒向載荷分布系數KHβ是考慮沿齒寬載荷分布不均勻對齒面接觸應力影響的系數。
本标準的計算方法适用於有如下特征的齒輪 :
a)小齒傳輸線對稱於軸承安裝在實心軸上,或di/dsh<0.5的空心軸上(小齒輪非對稱布置時産生的彎曲變形必須考慮並加到齧合螺旋線誤差分量fma上,或用附加的完全螺旋線修形予以補償);
b)小齒傳輸線直徑接觸等於軸徑;
c)大齒輪和箱體、大齒輪軸、軸承的剛度足夠大;
d)在載荷作用下接觸斑點布滿全齒寬;
e)小齒輪軸上沒有附加的外載荷(如由聯軸器施加的載荷);
f)按4.6.1.2的規定,跑合量yβ≤yβmax。Fβx的值可按式(32)校驗:
g)建議用於fma的數值進行檢驗確認,如工作狀态下的接觸斑點。
行星齒輪的應用見附錄B中的B2。
4.6.1計算KHβ的參數
4.6.1.1齧合螺旋線偏差分量fma5)5)對於齒輪副,取其中的較大fHβ值代入式(33)~式(35)中。)(假定是由制造偏差引起的)
fma爲齒輪副相齧輪齒齒廓之間最大分離量。
a)齒輪無修形或無裝配調整
fma=1.0fHβ……………………(33)
式中:fHβ­——螺旋線斜率偏差,μm。
b)裝配時進行檢驗調整(對研或輪載跑合,可調軸承或合适的螺旋線修形)或鼓形齒齒輪副
fma=0.5fHβ……………………(34)
c)具有合理齒端修薄的齒輪副
fma=0.7fHβ……………………(35)
4.6.1.2跑合量yβ,跑合系數xβ
yβ是跑合後使初始齧合螺旋線偏差fβx(μm)減少的量;xβ是表明跑合後齧合螺旋線偏差特征的系數。隻要yβ和fβx成比例,在計算中可以使用xβ
a)對調質鋼
式中:σHlim­——試驗齒輪的接觸疲勞極限,N/mm2,見5.7;
fβx­­——初始齧合螺旋線偏差,μm;fβx­­的取值如下:
v≤5m/s時,fβx­­無限制;
5m/s<v≤10m/s時,fβx­­≤80μm;
v>10m/s時,fβx≤40μm
b)對滲碳淬火鋼、表面硬化鋼、滲氮鋼和氮碳共滲鋼
yβ=0.15Fβx……………………(38)
式中:Fβx=40μm。
xβ=0.85……………………(39)
c)當大、小齒輪的材料不同時,大、小齒輪的yβ和xβ應分别計算,然後計算平均值
yβ=0.5(yβ1+yβ2)……………………(40)
xβ=0.5(xβ1+xβ2)……………………(41)
4.6.2齒向載荷分布系數KHβ
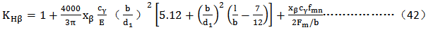
4.6.2.1未經螺旋線修形的齒輪副
a)直齒輪副和單斜齒輪副6)6)假定所有轉矩從一個軸端輸入,如果轉矩從兩個軸端輸入或從雙斜齒中間輸入,有必要作更精確的分析。)
b)雙斜齒輪副6),7)(7)離轉矩輸入端較近的半邊斜齒輪的KHβ的值較大;空刀槽比齒寬小時,切向力被兩個單斜齒均分。計算KHβ時若採用半個齒寬(包括半個空刀槽),所得值較大。因此,對大空刀槽雙斜齒傳輸線,KHβ應按GB/T 3480中一般方法計算。)
4.6.2.2經螺旋線修形的齒輪副
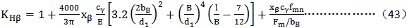
a)直齒輪副和單斜齒輪副6)
——部分螺旋線修形8)8)扭轉變形可由螺旋線或螺旋角修形完全補償。另外,要求補償彎曲變形時必須採用鼓形齒。)(僅補償扭轉變形)
——完全螺旋線修形(補償扭轉變形和彎曲變形)
當KHβ<1.05時,取KHβ=1.05。
b)雙斜齒傳輸線副6),7)
完全螺旋線修形9)9)兩個單斜齒完全螺旋線修形是必要的。部分螺旋線修形隻是補償扭轉變形,對於對稱布置的雙斜齒傳輸線是不适合的。扭轉和彎曲變形可由螺旋角修形完全補償。然而,隻修轉矩輸入端的單邊齒輪常常已經足夠,另一邊斜齒輪的扭轉和彎曲變形幾乎相互補償。但這種情況應予證實。)(補償扭轉變形和彎曲變形)
當KHβ<1.05時,取KHβ=1.05。
式(44)~式(46)是根據4.6的假定a)到g)推出的。
4.7彎曲強度計算的齒向載荷分布系數KFβ
用b1/h1和b2/h2中的較小者作爲b/h。邊界條件:當b/h<3時,取b/h=3。對雙斜齒輪,用bB代替b。
4.8齒間載荷分配系數KHα、KFα
接觸強度計算的齒間載荷分配系數KHα和彎曲強度計算的齒間載荷分配系數KFα是考慮同時齧合的各對輪齒間載荷分配不均勻的影響系數。
對於高速齒輪:
KHα=KFα=1.0……………………(49)
上一篇 上一篇: 高速漸開線圓柱齒輪和類似要求齒輪承載能力計算方法齒面接觸強度(點蝕)計算(JB/T8830-2001
下一篇 下一篇: 高速漸開線圓柱齒輪和類似要求齒輪承載能力計算方法主要代号(JB/T8830-2001)
相關新聞文章 > 查看更多
軸承異響-外部環境與操作影響 2026-01-23
淺談傳動軸的端部聯接形式 2025-12-12
淺析高粘度齒輪泵的發展特點 2025-11-21
改善機彎小彎曲半徑,薄壁鋼管彎頭的措施有哪些 2025-10-29
車削螺紋時常見故障及解決方法-螺紋表面粗糙 2025-09-02
編制工藝規程時必須具備的原始資料有哪些 2025-08-22
如何評價直接測量未定系統誤差合成法 2025-07-08
軸承産品鏽蝕的原因 2025-06-10
錐齒輪承載能力計算方法第1部分:概述和通用影響系數附錄A(GB/T10062.1-2003) 2025-04-24
什麽是機械加工表面質量 2025-02-14
什麽是低溫軸承?用於哪些領域,有哪些類型? 2025-01-15
什麽是軸承的軸向遊隙 2024-11-22
返回頂部 關閉本頁】 【打印本頁
電 話:021-22815912  021-22816186  傳 真:021-32050712   郵箱:sales@021jsj.cn  減速機 絲杆升降機 轉向箱 蝸輪蝸杆減速機
Copyright©2009-2026上海恒點傳動設備有限公司 版權所有  地址:上海市金山區亭林鎮林寶路39号  郵編:200442  滬ICP備10206998号-2 
友情鏈接機械設備網 | 渦街流量計 | 輸送機 | 變頻控制櫃 | 破碎機 | 工業同城 | 手持終端 | 柴油發電機 | uv平闆打印機 | 風淋室 | QUV | 防火門 | 九愛圖紙 | 感應加熱設備 | 輸送帶廠家 | 噪聲治理 | 西門子plc | 拖鏈電纜 | AGV | 機械雜志 | 現代機械 | UWB高精度定位 |